产品搜索
首页
关于我们
公司简介
展会现场
荣誉资讯
企业文化
发展历程
产品&应用
PACM
DMDC/MACM
HTDA
其它新型原材料
改性脂环胺环氧固化剂
改性脂肪胺环氧固化剂
改性芳香胺环氧固化剂
新闻资讯
公司新闻
行业资讯
产品相关技术与资讯
技术支持
网上商城
联系我们
联系方式
在线留言
您的位置:
首 页
>
新闻资讯
>
产品相关技术与资讯
新闻资讯
公司新闻
行业资讯
产品相关技术与资讯
最新资讯
1
聚酰亚胺原料二酐单体简介
2
4,4-二氨基二苯砜,DDS
3
4,4-二氨基二苯醚,ODA
4
DMTDA,E300
5
DETDA,E100
6
DMP-30
7
十二烷基酚
8
AEP,氨乙基哌嗪
9
苯乙烯化苯酚
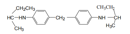
4,4-二仲丁氨基-二苯基甲烷(4200或6200)简介
文章来源:本站 时间:2025-08-06
4,4-二仲丁氨基-二苯基甲烷是一款液态芳香族仲胺(简称4200或6200),由于仲丁基取代了每个氨基上的一个氢,仲丁基的位阻效应使得它具有较长的可操作时间,同时仲丁基又有一定的烷基增塑性,仲丁基也增加了产品的溶解性,使它易于与各种多元醇和胺类相溶。
分子式:
产品参数:
外观:浅棕色或琥珀色液体
纯度:96%以上
含水量:小于0.05%
当量:153-161
用途:
可用于软硬泡、涂料、胶粘剂和Pu弹性体等,添加量为多元醇的1-5%。也可用于喷涂聚脲等。
上一条:4,4-双仲丁氨基-二环己基甲烷(HMDBA)
下一条:4-氨甲基-1,8-辛二胺